Ads block

Showing posts with label bab 16. Show all posts
Showing posts with label bab 16. Show all posts
Tugas 16
Tentukan pH (a) solusi NH3 0,20 M, (b) solusi yaitu 0,20 M di NH3 dan 0,30 M NH4Cl.
Read more »
Latihan 16
16.1 Gunakan prinsip Le Châtelier untuk menjelaskan bagaimana efek ion umum mempengaruhi pH suatu larutan.
Read more »
Ringkasan Pengetahuan Faktual dan Konseptual
1. Efek ion umum cenderung menekan ionisasi asam lemah atau basa lemah. Tindakan ini dapat dijelaskan dengan prinsip Le Châtelier.
Read more »
16.11 Penerapan Prinsip Hasil Kali Kelarutan untuk Analisis Kualitatif
Dalam Bagian 4.6 , telah dibahas prinsip analisis gravimetri, dimana jumlah ion diukur dalam sampel yang belum diketahui. Di sini akan dibahas secara singkat …
Read more »
Bagaimana Kulit Telur Dibentuk
Pembentukan cangkang telur ayam adalah contoh yang menarik dari proses presipitasi alami
Read more »
16.10 Kesetimbangan Ion Kompleks dan Kelarutan
Reaksi asam-basa Lewis terjadi ketika kation logam bergabung dengan basa Lewis menghasilkan pembentukan ion kompleks. Dengan demikian, dapat didefinisikan ion…
Read more »
16.9 pH dan Kelarutan
Kelarutan sebagian besar zat juga tergantung pada pH larutan. Pertimbangkan kesetimbangan kelarutan magnesium hidroksida: Mg(OH)₂(s) ⇋ Mg²⁺(aq) + 2OH⁻(aq) …
Read more »
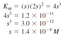
16.8 Pengaruh Ion Senama dan Kelarutan
Dalam Bagian 16.2 kita membahas efek ion bersama pada ionisasi asam dan basa. Di sini kita akan memeriksa hubungan antara efek ion umum dan kelarutan.
Read more »
16.7 Pemisahan Ion dengan Pengendapan Fraksional
Dalam analisis kimia, kadang-kadang diinginkan untuk menghilangkan satu jenis ion dari larutan dengan presipitasi sambil meninggalkan ion lain dalam larutan. S…
Read more »
16.6 Kesetimbangan Kelarutan
Reaksi presipitasi penting dalam industri, kedokteran, dan kehidupan sehari-hari. Misalnya, persiapan banyak bahan kimia industri penting seperti natrium karbo…
Read more »
16.5 Indikator Asam Basa
Titik ekivalensi, seperti yang telah kita lihat, adalah titik di mana jumlah mol ion OH2 yang ditambahkan ke larutan sama dengan jumlah mol ion H1 yang awalnya…
Read more »
16.4 Titrasi Asam-Basa
Setelah membahas solusi buffer, kita sekarang dapat melihat lebih detail pada aspek kuantitatif titrasi asam-basa (lihat Bagian 4.6). Kami akan mempertimbangka…
Read more »
16.3 Larutan Penyangga
Larutan buffer adalah larutan (1) asam lemah atau basa lemah dan (2) garamnya; kedua komponen harus ada. Solusinya memiliki kemampuan untuk menahan perubahan p…
Read more »
16.2 Pengaruh Ion Senama
Diskusi kami tentang ionisasi asam-basa dan hidrolisis garam pada Bab 15 terbatas pada larutan yang mengandung zat terlarut tunggal. Pada bagian ini, kami akan…
Read more »
16.1 Kesetimbangan Larutan Homogen Versus Heterogen
Dalam Bab 15, kita melihat bahwa asam lemah dan basa lemah tidak terionisasi sepenuhnya dalam air. Jadi, pada kesetimbangan, larutan asam lemah, misalnya, meng…
Read more »
16. Kesetimbangan Asam-Basa dan Kesetimbangan Kelarutan
Konsep Penting • Kami melanjutkan studi kami tentang sifat-sifat asam basa dan reaksi dari Bab 15 dengan mempertimbangkan efek ion umum pada tingkat ionisasi …
Read more »
SEARCH
LATEST
3-latest-65px
SECCIONS
- bab 1 (16)
- bab 10 (17)
- bab 11 (21)
- bab 12 (17)
- bab 13 (15)
- bab 14 (14)
- bab 15 (20)
- bab 16 (19)
- bab 17 (14)
- bab 18 (16)
- bab 19 (17)
- bab 2 (16)
- bab 20 (14)
- bab 21 (15)
- bab 22 (16)
- bab 23 (18)
- bab 24 (12)
- bab 25 (12)
- bab 3 (17)
- bab 4 (16)
- bab 5 (16)
- bab 6 (16)
- bab 7 (18)
- bab 8 (15)
- bab 9 (19)
- Daftar Isi (1)
- glosarium (1)
- indeks (1)
- kata kunci (25)
- Kelas X (3)
- Kelas XI (1)
- lampiran (4)
- pengayaan (45)
- ringkasan (25)
- rumus penting (20)
- soal latihan (25)
- tugas (26)
- UAS (2)
- UTS (1)
Total Dilihat
Cari Dengan Kata
Powered by Blogger.
Labels
- bab 1 (16)
- bab 10 (17)
- bab 11 (21)
- bab 12 (17)
- bab 13 (15)
- bab 14 (14)
- bab 15 (20)
- bab 16 (19)
- bab 17 (14)
- bab 18 (16)
- bab 19 (17)
- bab 2 (16)
- bab 20 (14)
- bab 21 (15)
- bab 22 (16)
- bab 23 (18)
- bab 24 (12)
- bab 25 (12)
- bab 3 (17)
- bab 4 (16)
- bab 5 (16)
- bab 6 (16)
- bab 7 (18)
- bab 8 (15)
- bab 9 (19)
- Daftar Isi (1)
- glosarium (1)
- indeks (1)
- kata kunci (25)
- Kelas X (3)
- Kelas XI (1)
- lampiran (4)
- pengayaan (45)
- ringkasan (25)
- rumus penting (20)
- soal latihan (25)
- tugas (26)
- UAS (2)
- UTS (1)
Web Design By
Fp Comp
-
Tata nama Senyawa Hidrokarbon Tontonlah video pendahuluan pembelajaran di bawah ini ya😇 Sebelum belajar, kerjakanlah pre test dengan link...
-
Kita dapat memprediksi unsur mana yang cenderung membentuk senyawa ionik berdasarkan data energi ionisasi dan afinitas elektron, tetapi bag...
-
Jumlah pereaksi pembatas yang tersedia pada awal reaksi menentukan hasil teoritis (yield teoritis), yaitu jumlah maksimum produk yang dapat ...
-
"KESTABILAN UNSUR" Tonton terlebih dahulu video berikut ya... Sebelum belajar materi kestabilan unsur, kalian mengerjakan p...
-
Mari kita rangkum hukum gas yang baru saja didiskusikan di Bagian 5.3 : 1. Hukum Boyle: V ∝ 1/P (pada n dan T tetap) 2. Hukum Cha...
-
Salah satu jenis reaksi yang umum terjadi pada larutan dalam air (zat yang dilarutkan dalam air) adalah reaksi presipitasi atau reaksi peng...
-
Tidak hanya ada korelasi antara konfigurasi elektron dan sifat fisik, tetapi juga ada korelasi erat antara konfigurasi elektron (sifat mikr...
-
Konsep hibridisasi berguna baik untuk molekul dengan ikatan rangkap dua maupun rangkap tiga. Perhatikan molekul etilena (C₂H₄) sebagai cont...
-
SIFAT-SIFAT KEPERIODIKAN UNSUR Sebelum belajar, kalian mengerjakan prites terlebih dahulu ya... Link Prites Klik Disini Materi Sifat-sifa...
-
Sejauh ini kita telah berkonsentrasi pada perilaku gas unsur murni atau senyawa murni saja, tetapi studi secara eksperimen sangat sering me...
